HOMETechnical SupportRain Gauges and Water Level MetersInfrastructureTechnologies
Technologies
- Recognized as a national institute for calibration by mass measurement : KOLAS (Korea Laboratory Accreditation Scheme)
- Dec. 2004 : Development of standard raingauge calibrator
- May 2011 : Measurement and screening, environmental assessment (KRISS: Korea Research Institute of Standards and Science)
- May 2012 : Recognized as the first international and national institute for raingauge calibration in Korea
Measurement scope and capability of correction and measurement
Measurement scope and capability of correction and measurement for Table
| Calibration item |
Class. number |
Scope of measurement |
CMC |
Method of measurement |
| Raingauge |
20603 |
Precipitation: 0.1mm ~ 2.0mm Rainfall intensity: 20mm/h ~ 200mm/h |
0.8%. |
Mass measurement |
- Securement of intellectual property right
- Name of patent : Standard raingauge calibrator using mass measurement and a method of such calibration (Patent no. 0521646, Oct. 6 2005)
- Name of patent : A Heater Operation Test Device of Rain-Snow Gauges (Patent no. 10-087582, Dec. 17, 2008).
- Registration of copyright for test and calibration program software (Registration no. 2006-01-211-006898, Dec. 15, 2006)
- Dissertation
- Published on dissertation : Development of standard raingauge calibration system by mass measurement (ICROS, 2006)
- Published on journal : Recognition as an international ISO/IEC calibration institution in raingauge area (Water Resource Information, 2006)
- Academic publication : 7 publications including development of standard calibration equipment for the rain gaugeequipment for the rain gauges
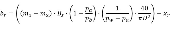
- Mathematical model formula

: Correction value(㎜)
: Reading before discharging water(g)
: Reading after discharging water(g)
: Reciprocal sensitivity of electric indicating scale(g/div.)
: Air density(g/㎤)
: Density of standard counterweight(g/㎤)
: Water density(g/㎤)
: Caliber of water outlet(㎝)
: Nominal value
- Recognized as a national institute for calibration by length measurement : KOLAS(Korea Laboratory Accreditation Scheme)
- Dec. 2006 : Development of standard calibration system and a method of calibration
- Aug. 2008 : Improvement of standard calibration system, environmental assessment, measurement and screening (KRISS: Korea Research Institute of Standards and Science)
- Apr. 2008 : Recognized as the first international and national institute for hydrograph calibration in Korea
Measurement scope and capability of correction and measurement
Measurement scope and capability of correction and measurement for Table
| Calibratio itemn |
Class. number |
Scope of measurement |
CMC |
Method of measurement |
| Water Level Meter |
10619 |
0.5m ~ 15m perpendicularly |
3.0 mm |
Comparison and measurement |
- Securement of intellectual property right
- Name of patent: Standard hydrograph calibrator and a method of calibration (Patent no. 10-0753774, Aug. 23 2007)
- Registration of copyright for test and calibration program software (Registration no. 2006-01-211-006883, Dec. 15, 2006)
- Name of patent

- Name of patent

- Dissertation
- Published on dissertation : Development of standard hydrograph testing device and research on the maximum measurement capability (ICROS, 2007)
- Published on journal : Analysis on the maximum measurement capability of standard testing hydrograph calibration system and recognition as an international ISO/IEC calibration institution (Water Resource Information, 2006)
- Academic publication : 7 publications including development of standard hydrograph testing device
- Mathematical model formula

: Correction value (㎜)
: Reading by laser ranger (m)
: Reading by straight edge ruler (m)
: Reading by clinometer (˚)
: Reading by hydrograph (m)